新聞| | PChome| 登入
2012-12-26 13:59:06| 人氣1,753| 回應0 | 上一篇 | 下一篇

尖針突破策略(Spike B.O.) 歷史回顧報告

推薦 0 收藏 0 轉貼0 訂閱站台

7/6經濟數據公佈之尖針突破策略(Spike B.O.) 歷史回顧報告:2012年7月6日美國非農數據公佈


7月6日是美國非農數據公佈
時間:2012/07/06    20:30 (北京/香港/台灣時間)--- 注意: 歐美時差已調整為夏令時間
策略設定方式:請參照前篇

外匯交易研究-尖波或長針策略(Spike B.O.)(基礎篇)-Break Out (B.O.) 突破策略的特殊應用:針對重要經濟數據新聞時間的特別情況


此次Spike B.O.策略針對貨幣對:EUR/USD
以1.23766左右為基準(紅線)上下各加減10點預掛Buystop與Sellstop(綠虛線)
此二單進場價互為止損
TP: 50 pips
[此次歷史資料報告是使用的STP交易商MT4平台的歐美spread大約是1.3pip左右(浮動點差),沒有交易手續費] 


數據公佈
previous: 69k
forecast: 95k
actual: 80k


結果
數據公佈(20:30)盤勢先行下挫幾近觸動Sellstop價位(1.23666),下一分鐘價位到達1.23472位置,Sell單浮動獲利將近20pip左右,之後盤勢稍作反彈, 后美元即繼續維持強勢於後續數十分鐘下行至1.23175位置(時間13:01),離所設TP位置已只有微小的差距。---通常心態較保守的投資者可視自己的交易習慣決定是否於此處手動平倉停利出場 ; 若是有興趣繼續與市場拔河的投資者或者也可選擇使用追蹤停損(護利)功能,同時記得取消上方的Buystop單

之後盤勢稍作短暫整理,於13:49正式衝破TP位置(sell單獲利50 pips) ---此次若進場掛單,結果是一張sell單獲利出場(且未啟動Buystop單),獲利50 pips策略最後出場時間(server time 13:49; local time 21:49)


 後續的行情

補一張後續二個小時左右的盤勢圖,此次盤面走勢有接近100點左右的行情,16:02左右完成TP2---如果選擇使用追蹤止損功能的投資者(如果追蹤功能的緩衝點距沒有設得太小的話),或許可以幸運地以此次Spike B.O.策略的設定佈局捕捉到這次走勢 ; 但如果追蹤止損緩衝點距設得過的話,也許在中間就會先安全出場的可能性了

外匯交易研究基本課程101-尖波或長針策略(Spike B.O.)(基礎篇)-Break Out (B.O.) 突破策略的特殊應用:針對重要經濟數據新聞時間的特別情況

尖波或長針策略(Spike B.O.)

Spike(長針或尖波)行情常常出現在許多重要新聞發布的瞬間原因乃是出乎意外或期待的重要事件可能對經濟市場的影響,因而造成外匯市場的波動。其中,各國經濟數據的公佈,大概是外匯市場中各投資者固定所期待的新聞資訊。---先以美國非農數據為示範例子

範例: 美國非農數據
非農數據通常指美國非農就業率,非農業就業人數與失業率(Unemployment)一同公佈,公佈時間通常為每月第一週五北京時間20:30 (但務必請注意歐美的夏令與冬令時間的差異對北京時間的換算時差)。非農就業人數,它能反映出製造行業和服務行業的發展及其增長。

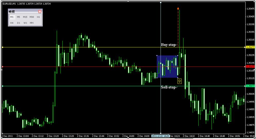
以下二圖皆為經濟數據公佈前後的一分鐘時框K線走勢:黃色箭頭所指那根K線為消息公佈時間點


      上圖為11月4日美國非農數據公佈時間(北京時間20:30)




     上圖12月2日美國非農數據公佈時間(北京時間21:30)

從上二圖可發現越接近消息發布時間K線的走勢就越趨收斂,這是因為大部分的投資者大多都在等待新聞消息的公佈而暫時按兵不動;一旦數據公佈,大型資金就瞬間湧入而造成行情波動幅度在非常短的時間內作劇烈或來回震盪,因此形成了Spike(長針)K線形狀。

在國外看過一款特別針對經濟數據公佈的Spike行情所設計的特別EA,此一EA分為兩個部份:一是經濟數據自動攫取與指標判斷之A系統;一是掛單進退場之B系統。A系統可以在該次消息公佈前先行預估是否值得進場,而B系統則負責在消息公佈前的一兩分鐘內以突破策略預掛stop交易單;而在消息公佈的瞬間,B系統會重新運算新數據以判定是否該將預掛的stop單取消掉。

雖然我們的手腦無法像EA般那樣快速運算與判斷以進場,但或許仍可把這個EA的邏輯拿來當手動交易的一種策略範本,我想依舊可針對經濟數據發布時的Spike長針行情做某些獲利的可能。
      Spike B.O. 策略的設定說明

1. 從先前二圖例子中,明顯可看出K線走勢從數據發佈前的10分鐘大概就開始進入窄幅的等待期(藍色區塊)
2. 因此,可以找出藍色框上下界的中線(上圖紅線),上下各加10~15 pips後當作是Buystop Sellstop的進場價位(上圖黃綠二線)  (PS:手快的人可以在公佈前1~2分鐘的市價當中線參考值上下各加10~15pips後預掛stop交易單...呵呵...小心別key錯各單進場價位喔!!!!)
3. SL的設定請參照前篇已PO過突破(B.O.)策略說明(http://forextone.blogspot.com/2011/12/101_521.html)
4. TP的點數,則可從30~60 pips範圍內選取;端看個人對盈虧比的期望(11~21)

(PS:  通常數據公佈時間點或者之後,交易平台常出現requote spread 巨幅擴大的情形,以致於無法追隨行情方式以市價即時進場,因此才需要在消息公佈前掛單進場;同樣地,平倉也可能會碰到相同的情況,所以設定TP會比較保險,當然你也可以利用MT4平台上的追蹤止損(護利)功能)


注意經濟數據資訊新聞發布所造的Spike行情是屬於市場於極短時間內的消息面反應,因此不建議將其視為趨勢的判斷指標應採速戰速決的短線交易模式;同時,當spike在數分鐘內消化完市場對消息面的反應後,後續的走勢亦有可能會出現不同spike方向的趨勢


即時盤勢追蹤:
2/3經濟數據公佈之尖針突破策略(Spike B.O.) 即時追蹤報告:2012年2月3日美國非農數據公佈(http://forextone.blogspot.com/2012/02/23spike-bo-201223.html)


關於經濟數據的一二事
在外匯投資中,很多初入外匯市場的投資者面對著各國經濟狀況的不斷變化,常需要花不少時間去了解這些資訊與數據。為了方便網友對各國經濟資料的掌握,這裡先就對外匯市場有較大影響的經濟資料做一簡要介紹。

對匯市影響最大的首先為美國每月(或每季度)公佈的經濟統計資料,其次為歐元區國家(主要為歐元區、德國和法國)日本英國的資料,其後為澳大利亞加拿大瑞士等國的資料。之所以講美國的經濟資料影響最大,主要原因在於美元是國際外匯市場中最重要的貨幣,也是因為美元在國際貿易中占結算方式的50%以上。

從經濟統計資料的內容看,作用大小依次排序利率的調整失業資料(美國為非農業就業人口)國內生產總值、工業生產、對外貿易、通貨膨脹率、生產者價格(物價)指數、消費物價指數、批發物價指數、零售物價指數、採購經理人指數、消費者信心指數、商業景氣指數、建築資料、工廠訂單、個人收入、汽車銷售、平均工資、商業庫存、先行指數等,但這裏的排序只針對普遍情況,在不同市場心理情況下,這些資料對市場心理產生影響的重要性不同。

還有一些經濟資料也會對外匯匯率 產生影響,但相對於上述資料的影響和作用來講相對較小。所有這些經濟資料中最重要的為利率的調整、失業資料,這並不是說其他資料就不重要,它們對匯率的影響在不同情況下有不同程度的表現。例如當市場存在著對某國央行調整利率的預期時,將更加關注消費者物價指數、零售物價指數等有關通貨膨脹方面的資料;當外匯市場關注經濟前景時,就會關注工業生產、採購經理人指數、工廠訂單等有關生產狀況的資料。

此外,在一些特定的外匯市場預期或匯率波動的情況下,有關國家的貨幣政策官員或著名的評論機構、人物,或有影響性的報刊發表的講話、演講、文章等也會對匯市產生較大影響,此影響在各國沒有重要資料公佈的時期表現尤為強烈。

台長: 期指贏家
人氣(1,753) | 回應(0)| 推薦 (0)| 收藏 (0)| 轉寄
全站分類: 財經企管(投資、理財、保險、經濟、企管、人資) | 個人分類: 外匯交易 |
此分類下一篇:ADX 的推波助瀾_Average Directional Index(ADX) 平均動向指標
此分類上一篇:外匯入門初探《三十七》

是 (若未登入"個人新聞台帳號"則看不到回覆唷!)
* 請輸入識別碼:
請輸入圖片中算式的結果(可能為0) 
(有*為必填)
TOP
詳全文