新聞| | PChome| 登入
2012-03-27 21:31:42| 人氣669| 回應0 | 上一篇 | 下一篇

股市走勢圖20120327股票比期貨和選擇權還要難操作

推薦 0 收藏 0 轉貼0 訂閱站台

大盤日線20120327

大盤週線20120327

大盤月線20120327

台股期貨未平倉20120327

台指選擇權未平倉20120327

藍色虛線為指標

藍色實線為指標的移動平均線(週期2)

粉色實線為5(日,週,月)平均線

目前週線跌破指標和5週均線

月線站上指標和5月均線

日線站上指標和5日均線

現貨部份三大法人合計買超66.84億

長線看法轉中性

外資又追高殺低

表示對行情多空沒有把握

因昨天歐美股市大漲讓台股日線重新站上指標

值得注意的是

星期四摩台結算

很可能有大行情

但是對於做股票的人來說

如果行情是向下的反而難做

因為接下來將有股東會的強迫回補融券

而做多的股票又難以避險

畢竟不是所有股票都有權證可以操作

目前的行情即使往上漲

大多數的股票其實是在下跌的

因為大部份漲幅集中在權值股

換句話說

有時候股票比期貨和選擇權還要難操作

在此仍然奉勸手上有股票的人要空手或做好避險

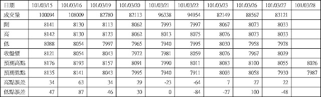
大盤高低點震盪預測

高低點震盪預測+/-誤差大於75點或與前日變化大表示進入盤整或新趨勢

台長: Money Show

是 (本台目前設定為強制悄悄話)
* 請輸入識別碼:
請輸入圖片中算式的結果(可能為0) 
(有*為必填)
TOP
詳全文