新聞| | PChome| 登入
2012-03-26 16:41:48| 人氣198| 回應0 | 上一篇 | 下一篇

股市走勢圖20120326資金行情退燒後勢下跌速度也將又急又快

推薦 0 收藏 0 轉貼0 訂閱站台

大盤日線20120326

大盤週線20120326

大盤月線20120326

台股期貨未平倉20120326

台指選擇權未平倉20120326

藍色虛線為指標

藍色實線為指標的移動平均線(週期2)

粉色實線為5(日,週,月)平均線

目前週線跌破指標和5週均線

月線站上指標和5月均線

日線跌破指標和5日均線

現貨部份三大法人合計賣超145.3億

長線看法轉中性

外資多單大幅撤退

選擇權已翻空

明天開始日線指標扣抵低值

如果連低值都站不上

短線絕對翻空無疑

外資多單撤離的速度又急又快

如果暗示的是資金行情退燒的話

後勢下跌速度也將又急又快

手上有股票的人宜退場

選擇觀望的人遇到跌破7824的區間一定要離場

只要跌破低點

後面短線即使反彈也不可以再接回多單

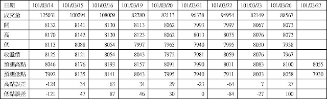
大盤高低點震盪預測

高低點震盪預測+/-誤差大於75點或與前日變化大表示進入盤整或新趨勢

台長: Money Show

是 (本台目前設定為強制悄悄話)
* 請輸入識別碼:
請輸入圖片中算式的結果(可能為0) 
(有*為必填)
TOP
詳全文