新聞| | PChome| 登入
2014-01-13 23:15:14| 人氣328| 回應0 | 上一篇 | 下一篇

股市走勢圖20140113成交量放大但籌碼開始凌亂

推薦 0 收藏 0 轉貼0 訂閱站台

長線看法中空轉長空

外資現貨轉為買超約38.2億

期貨未平倉量空單水位增為約10500多口

今天大盤開高後早盤再度出現壓盤漲幅收斂

成交量縮回約900多億附近

藍色虛線為指標

藍色實線為指標的移動平均線(週期2)

粉色實線為5(日,週,月)平均線

目前週線站上指標和5週均線

月線跌站上指標和5月均線

日線站上指標和5日均線

大盤日線

大盤週線

大盤月線

台股期貨未平倉

台指選擇權未平倉

三大法人現貨買賣超

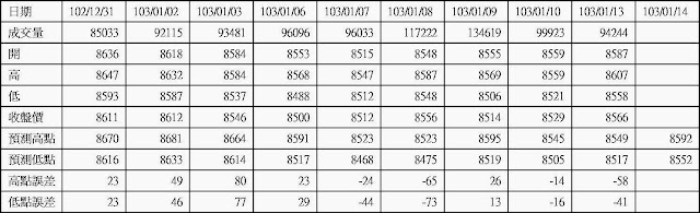
大盤高低點振盪預測

高低點振盪預測+/-誤差大於75點或與前日變化大表示進入盤整或新趨勢

台長: Money Show

我要回應 本篇僅限會員/好友回應,請先 登入
TOP
詳全文