新聞| | PChome| 登入
2013-09-03 05:24:08| 人氣297| 回應0 | 上一篇 | 下一篇

股市走勢圖20130902新一波短多開啟

推薦 0 收藏 0 轉貼0 訂閱站台

長線看法中空轉長空

外資現貨買超約40.7億

期貨未平倉量空單水位轉為多單約2700口

今日大盤開低後一路振盪走高拉上平盤

成交量縮回700多億附近

剩餘空單續抱

藍色虛線為指標

藍色實線為指標的移動平均線(週期2)

粉色實線為5(日,週,月)平均線

目前週線站上指標和5週均線

月線站上指標但跌破5月均線

日線站上指標和5日均線

大盤日線

大盤週線

大盤月線

台股期貨未平倉

台指選擇權未平倉

三大法人現貨買賣超

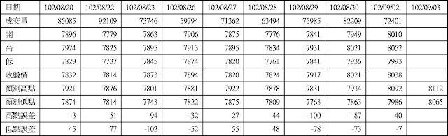
大盤高低點振盪預測

高低點振盪預測+/-誤差大於75點或與前日變化大表示進入盤整或新趨勢

台長: Money Show
人氣(297) | 回應(0)| 推薦 (0)| 收藏 (0)| 轉寄
全站分類: 財經企管(投資、理財、保險、經濟、企管、人資) | 個人分類: 股市走勢圖 |
此分類下一篇:股市走勢圖20130903上攻遇壓
此分類上一篇:股市走勢圖20130830強彈化解空頭危機

是 (本台目前設定為強制悄悄話)
* 請輸入識別碼:
請輸入圖片中算式的結果(可能為0) 
(有*為必填)
TOP
詳全文