新聞| | PChome| 登入
2013-06-25 22:32:31| 人氣109| 回應0 | 上一篇 | 下一篇

股市走勢圖20130625今天不彈明天彈

推薦 0 收藏 0 轉貼0 訂閱站台

長線看法中空轉長空

外資現貨賣超約94.6

期貨未平倉量空單水位小增仍為16000多口

今日大盤前半場上下劇烈振盪

盤中一路從平盤上殺下到尾盤

成交量放大至900億左右

今天反彈失敗

也許今天不彈明天彈

畢竟證所稅修正案都已經過了

這齣爛戲演夠久了

盤中買進7月份7400賣權4口

其餘空單續抱

藍色虛線為指標

藍色實線為指標的移動平均線(週期2)

粉色實線為5(日,週,月)平均線

目前週線跌破指標和5週均線

月線跌破指標和5月均線

日線跌破指標和5日均線

大盤日線

大盤週線

大盤月線

台股期貨未平倉

台指選擇權未平倉

三大法人現貨買賣超

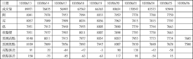
大盤高低點振盪預測

高低點振盪預測+/-誤差大於75點或與前日變化大表示進入盤整或新趨勢

期貨對帳單

期貨庫存

台長: Money Show

是 (本台目前設定為強制悄悄話)
* 請輸入識別碼:
請輸入圖片中算式的結果(可能為0) 
(有*為必填)
TOP
詳全文