新聞| | PChome| 登入
2013-03-17 20:14:25| 人氣425| 回應0 | 上一篇 | 下一篇

股市走勢圖20130315殺盤開始出量

推薦 0 收藏 0 轉貼0 訂閱站台

長線看法中空轉長空

外資現貨轉為賣超約41.6億

期貨未平倉量多單水位轉為空單約300多口

今日大盤開高後隨即下殺

之後在平盤上振盪收盤再殺尾盤

殺盤開始出量

手中空單續抱

藍色虛線為指標

藍色實線為指標的移動平均線(週期2)

粉色實線為5(日,週,月)平均線

目前週線跌破指標和5週均線

月線站上指標和5月均線

日線跌破指標和5日均線

大盤日線

 

大盤週線

大盤月線

台股期貨未平倉

台指選擇權未平倉

三大法人現貨買賣超

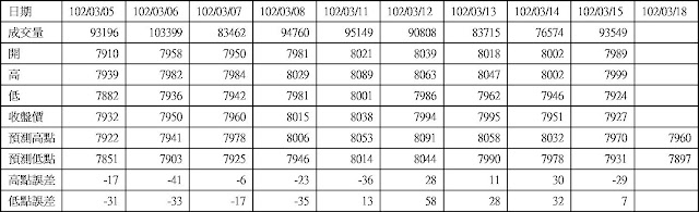
大盤高低點振盪預測

高低點振盪預測+/-誤差大於75點或與前日變化大表示進入盤整或新趨勢

台長: Money Show
人氣(425) | 回應(0)| 推薦 (0)| 收藏 (0)| 轉寄
全站分類: 財經企管(投資、理財、保險、經濟、企管、人資) | 個人分類: 股市走勢圖 |
此分類下一篇:股市走勢圖20130318大盤越殺越兇
此分類上一篇:股市走勢圖20130314大盤開始有危險

是 (本台目前設定為強制悄悄話)
* 請輸入識別碼:
請輸入圖片中算式的結果(可能為0) 
(有*為必填)
TOP
詳全文